【重磅】最权威的唐山钢厂限产方案(附名单)
唐山信息港 发表于:2016-3-19 13:54 复制链接 看图 发表新帖
阅读数:6315
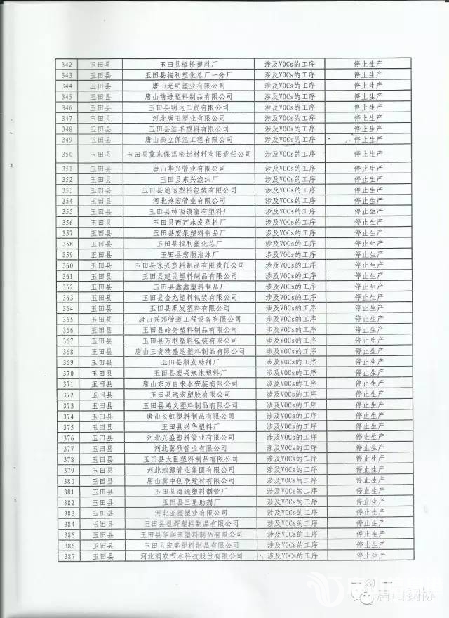
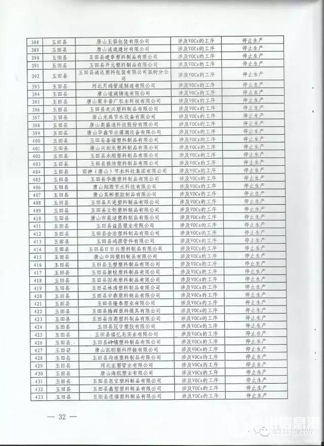
       3月18日,中共唐山市委办公厅、唐山市人民政府办公厅召开唐山市环境保护工作会议,印发2016年唐山世界园艺博览会等重大活动空气质量保障方案。
1946af6c9d1e22701d624ea84b415ed1.jpg

ecf366ca453e26903d86050d51cd198b.jpg

de4dd7e8232966f9b9b6717f3a5c03e4.jpg
387278350b1ff56ad84f6cf9be9dc495.jpg

6bceea017ff0d000d30acb97da2c7d9c.jpg

9a4e03f1aa32aee7e96228f0cb1f2da8.jpg

4f7252cf95c8af676f39ce9b8a5b29bb.jpg
043d483b77788e1ad28c80267d628a68.jpg
e1753cff0211c3bdf28786ac76399ca7.jpg
80e971993379109d12f539ca0c14874e.jpg

ed1bcdbd55270dccf2626cebf2c87313.jpg
bab40020ff64e0b54095ae3f84548f49.jpg
1ca09a7e49ff09d501e11574c86a2f7e.jpg
7c927c44d0006982b4d2c97aede23fd6.jpg
0c945b52b45a37ec209307aea310c5e6.jpg
7d3df69d9e464235a6ed5f9b0fbbac8c.jpg
952515af67290e547ade4fed04f4cb6e.jpg
f040f91958c548c2f927f522cf361243.jpg
930c3635859dfd14b3aed6b15ddac67f.jpg
afc8fbd27fb3183cf3072e516d3c64c7.jpg
d0260e9541143eeee48f9369309c8f8c.jpg
051df78320078668e05c7ef308e7bf59.jpg
29678fe659878fce2888f02d6418895d.jpg
db20affdd66d305f289eb233edff2bbf.jpg
b1171023ea681bc5474b6b8992a0dffb.jpg

bab41f415d14ff91cbe15bd2e21f115a.jpg
c484edb84d97079c4c1f2fa9b80ae83f.jpg

96173d1f0f196fd32e521e94fb9156c9.jpg
959f6a7ec252158fd30c0087256d917d.jpg
6c0354475f25a3d7964e89eb3d7b57ce.jpg
a94088ce8cbf86d64933f04af95dc8ae.jpg

ca70b923ce23e085fb496449914687a3.jpg
006c6dd6a37bbdd4186e85c363f1fa4d.jpg
                    
返回列表 使用道具 举报
条评论
您需要登录后才可以回帖 登录 | 立即注册
相关推荐
©2001-2021 唐山信息港 http://www.tsxxg.com冀ICP备2026004523号
首页联系我们客服微信:14369595Comsenz Inc.