2018河北高考一分一档表出炉!填报志愿全靠它!唐山考生、家长快收藏!
唐山信息港 发表于:2018-6-23 21:48 复制链接 看图 发表新帖
阅读数:6037
导  读23日0点,河北高考成绩可以查询了!相信考生现在都已经知道自己的分数了!全省考生们考的如何?一分一档表新鲜出炉!快来看看吧 !

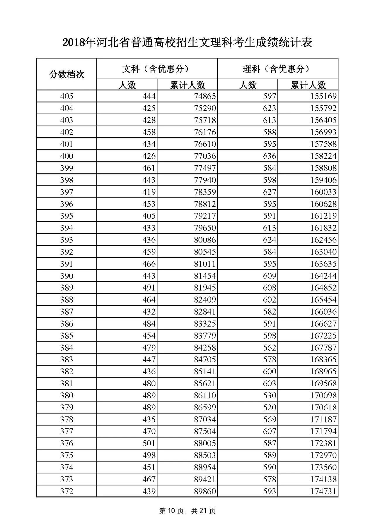
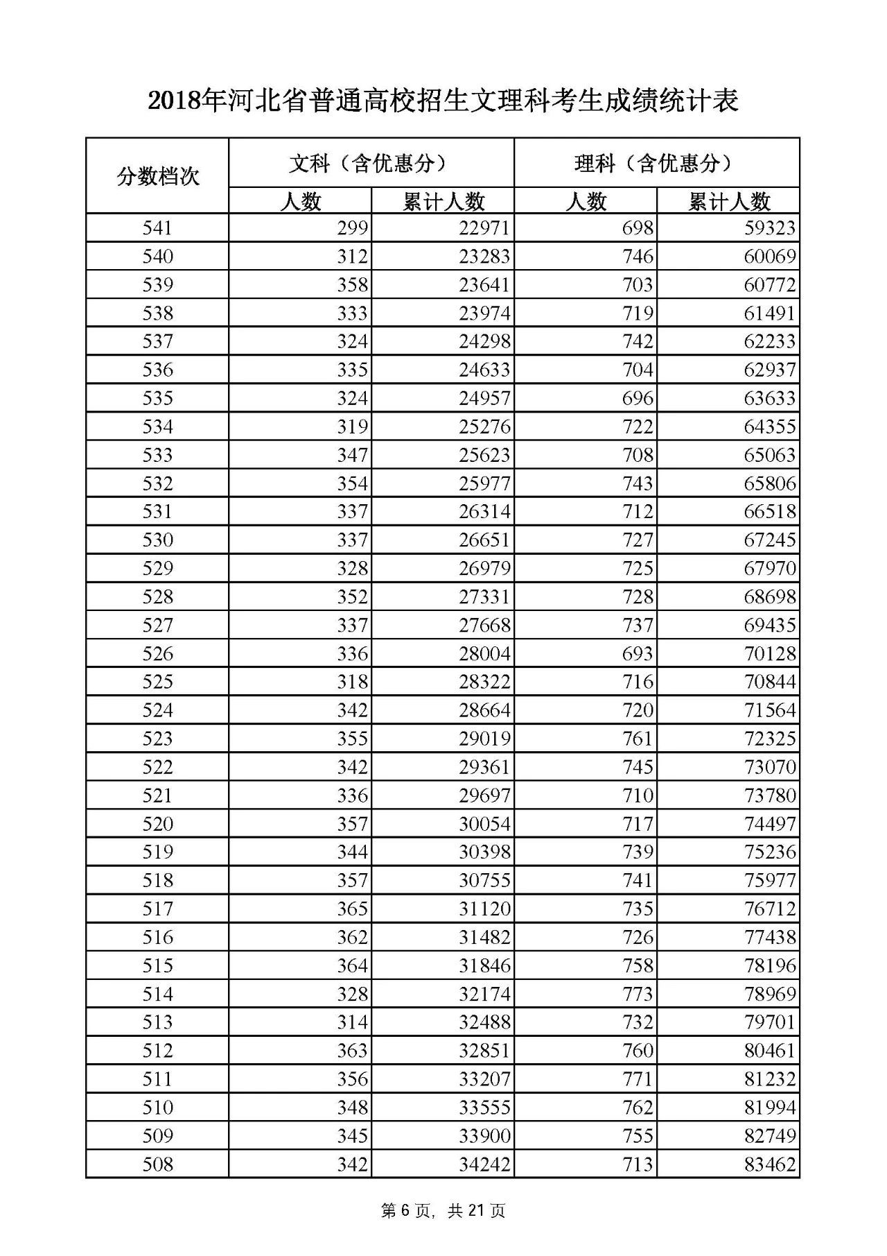
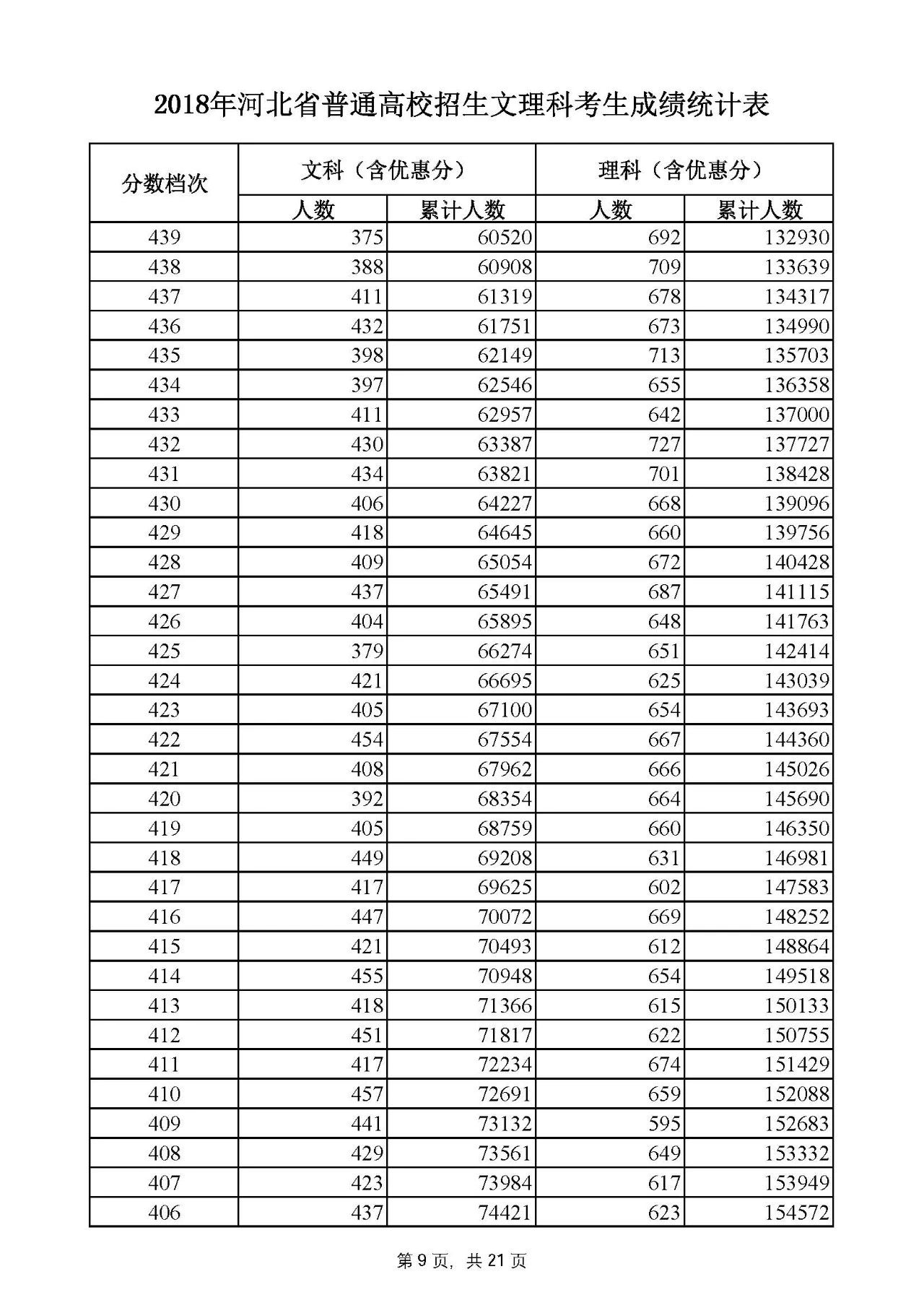
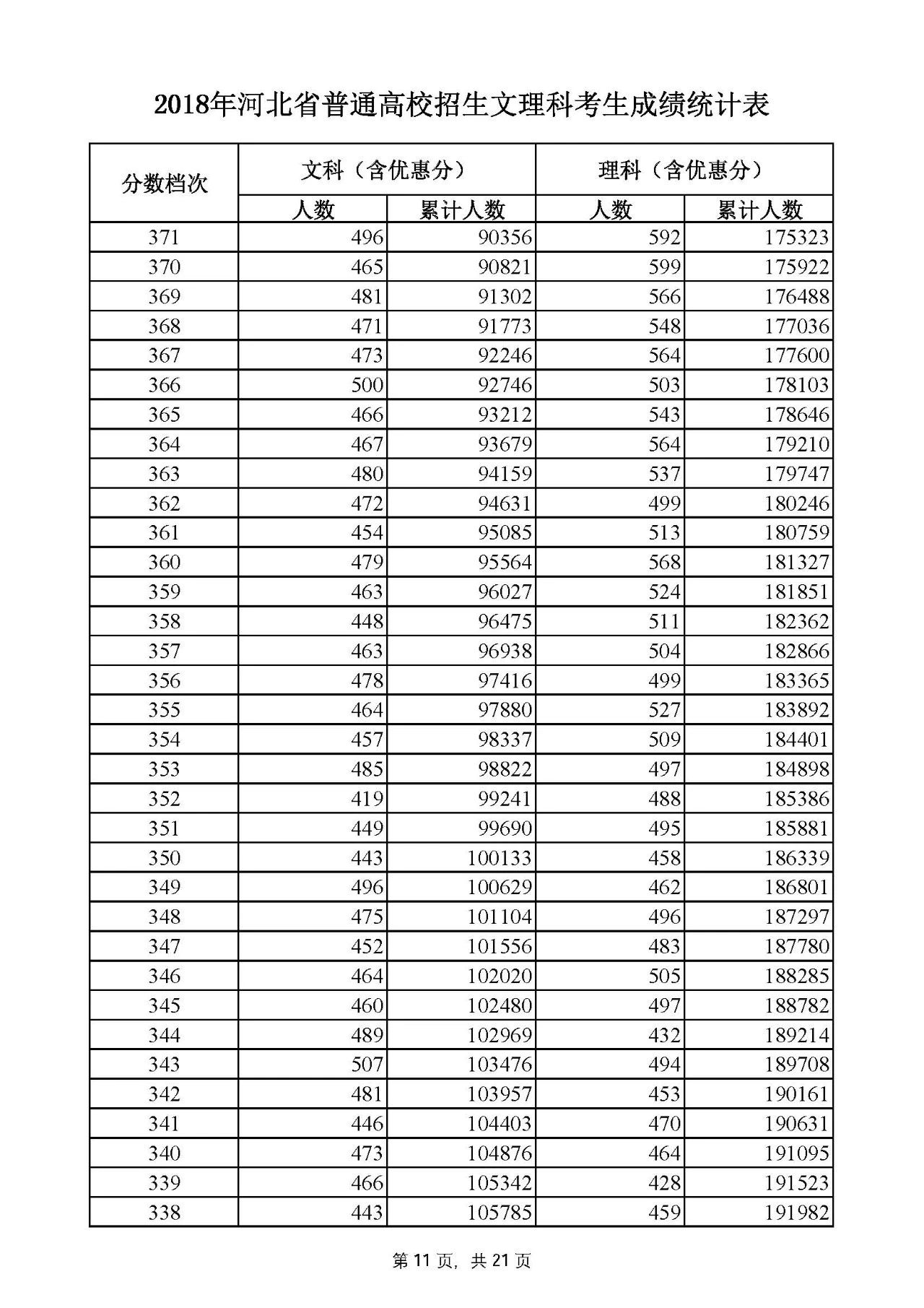
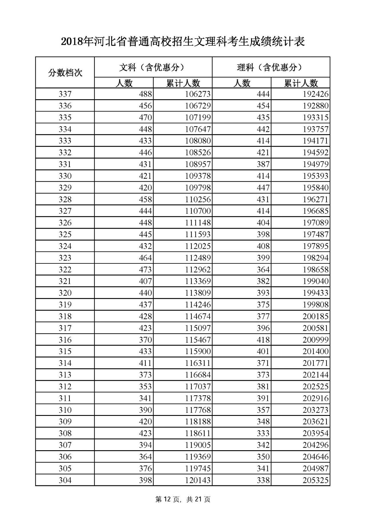
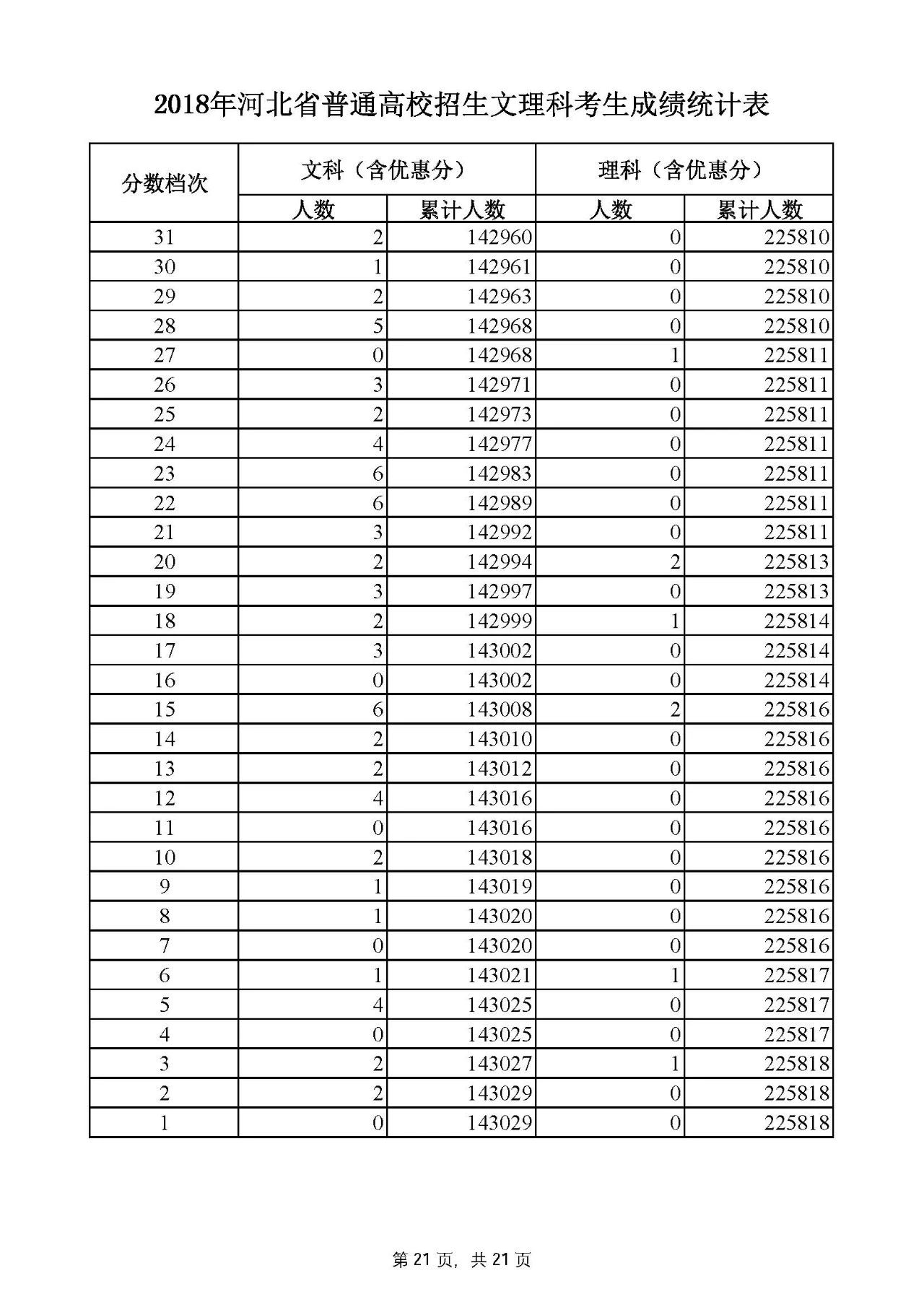
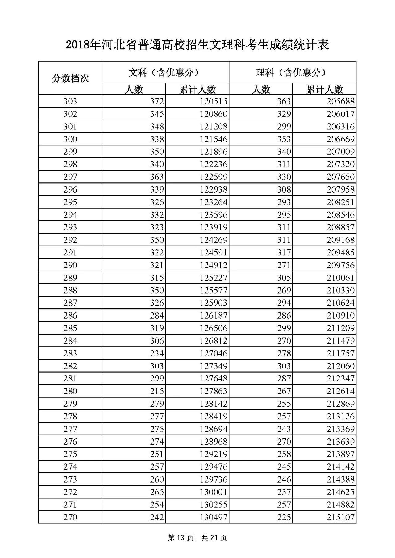
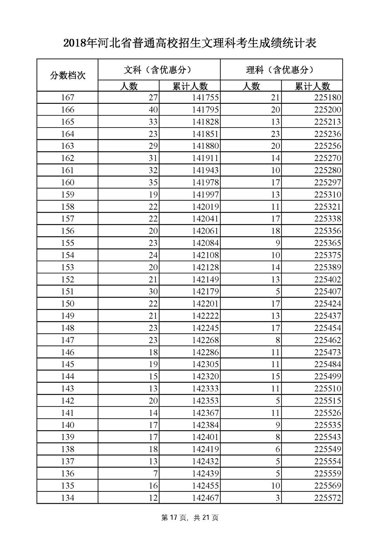
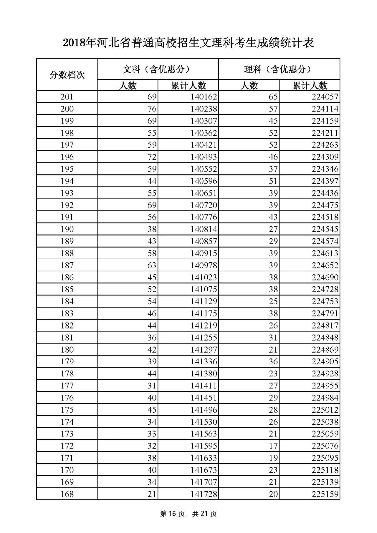
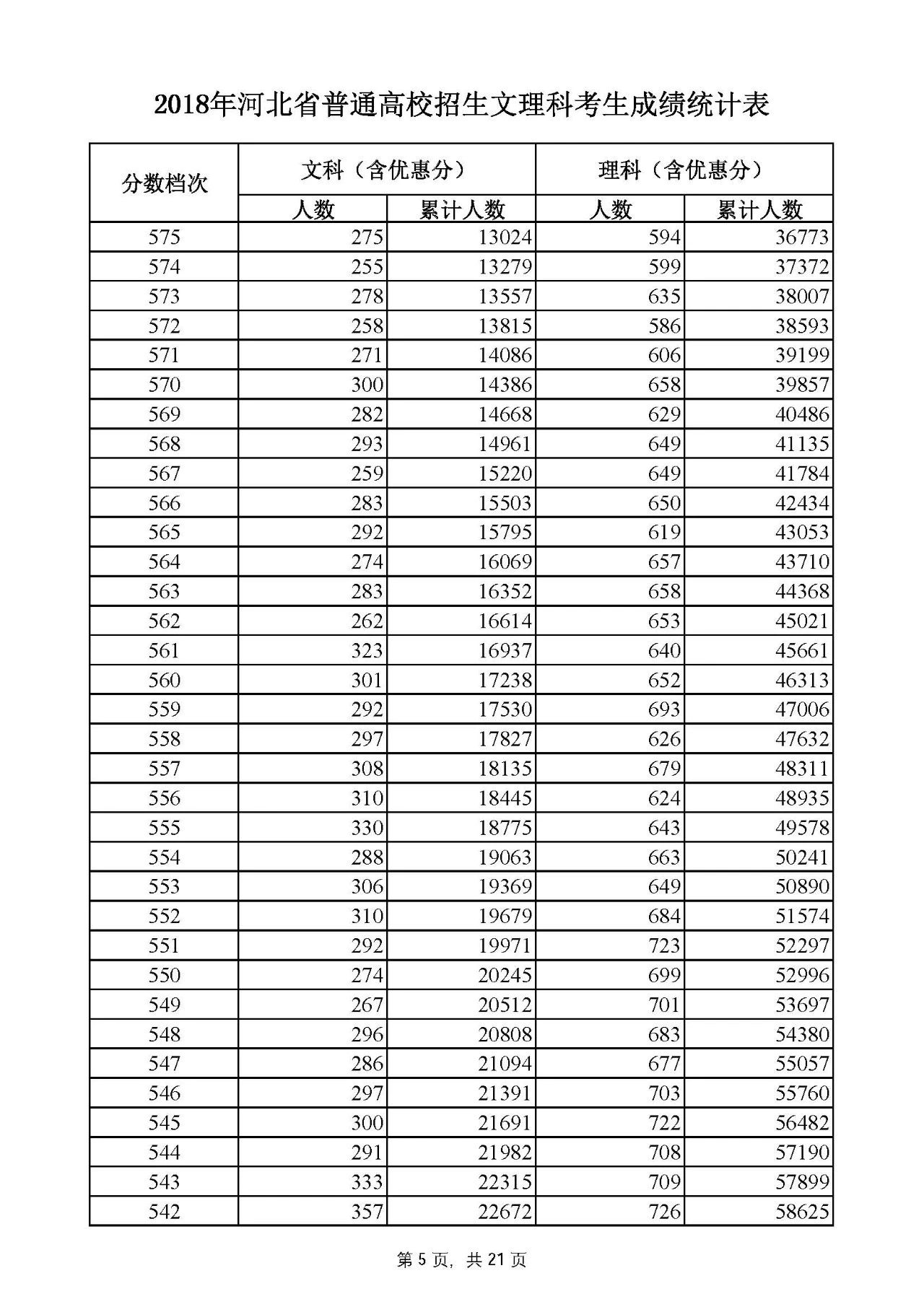
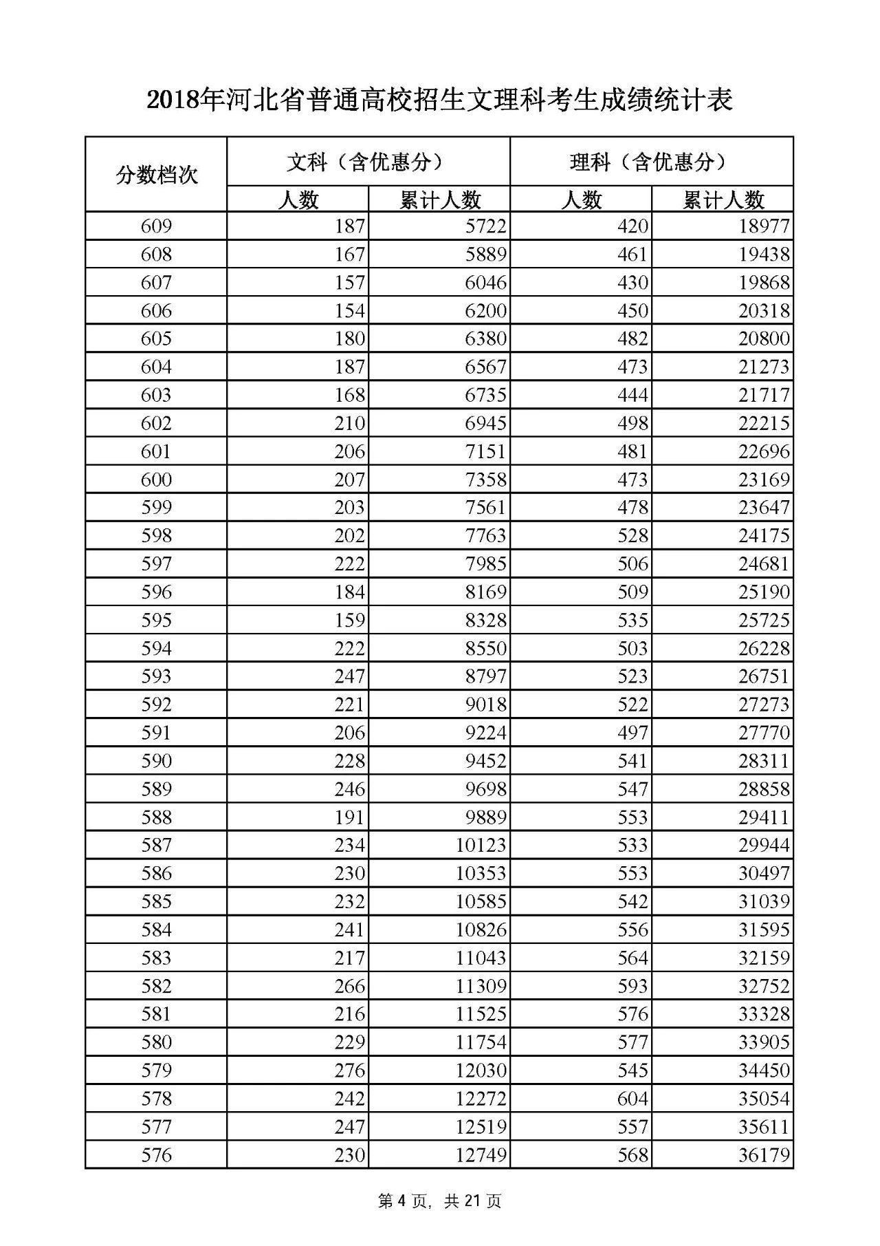
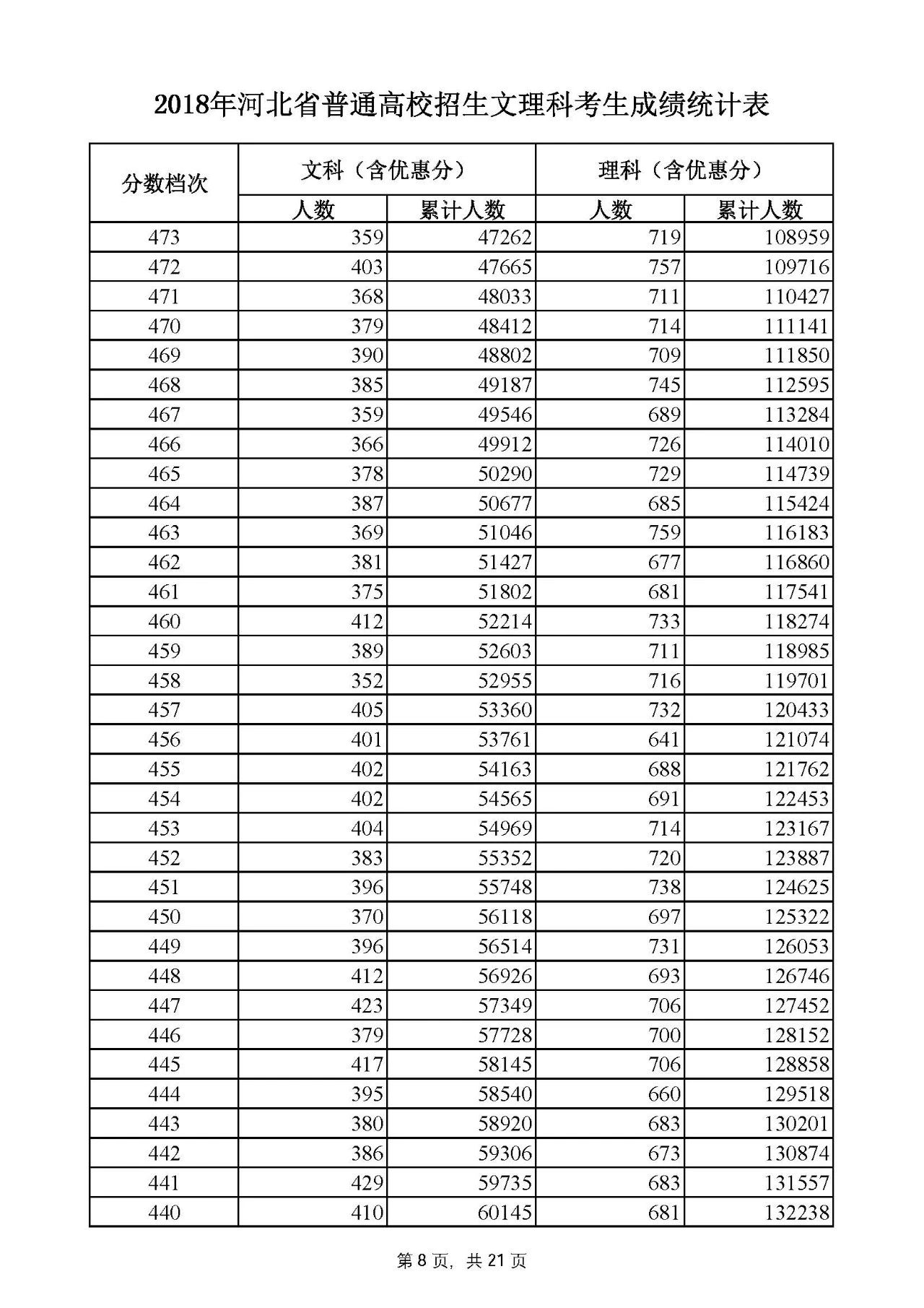
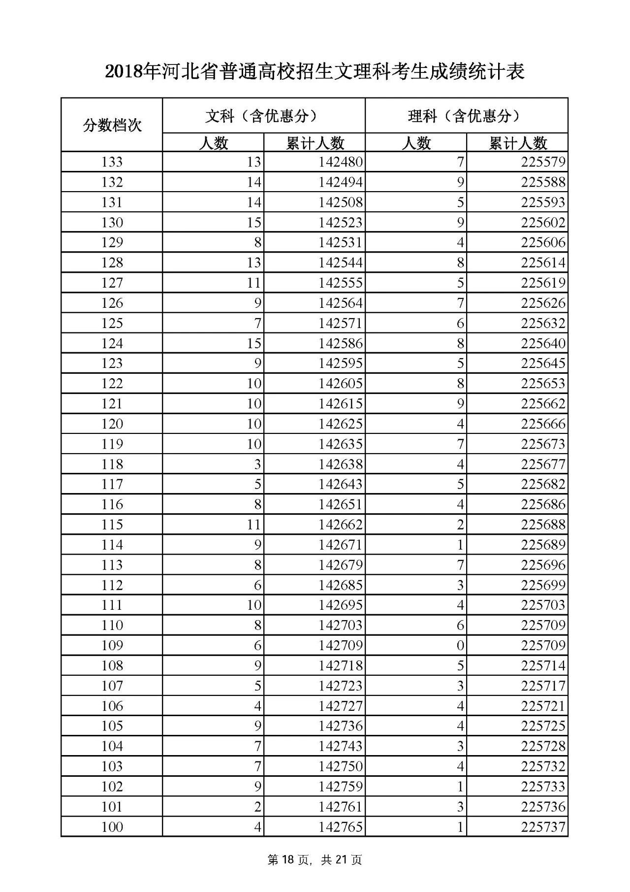
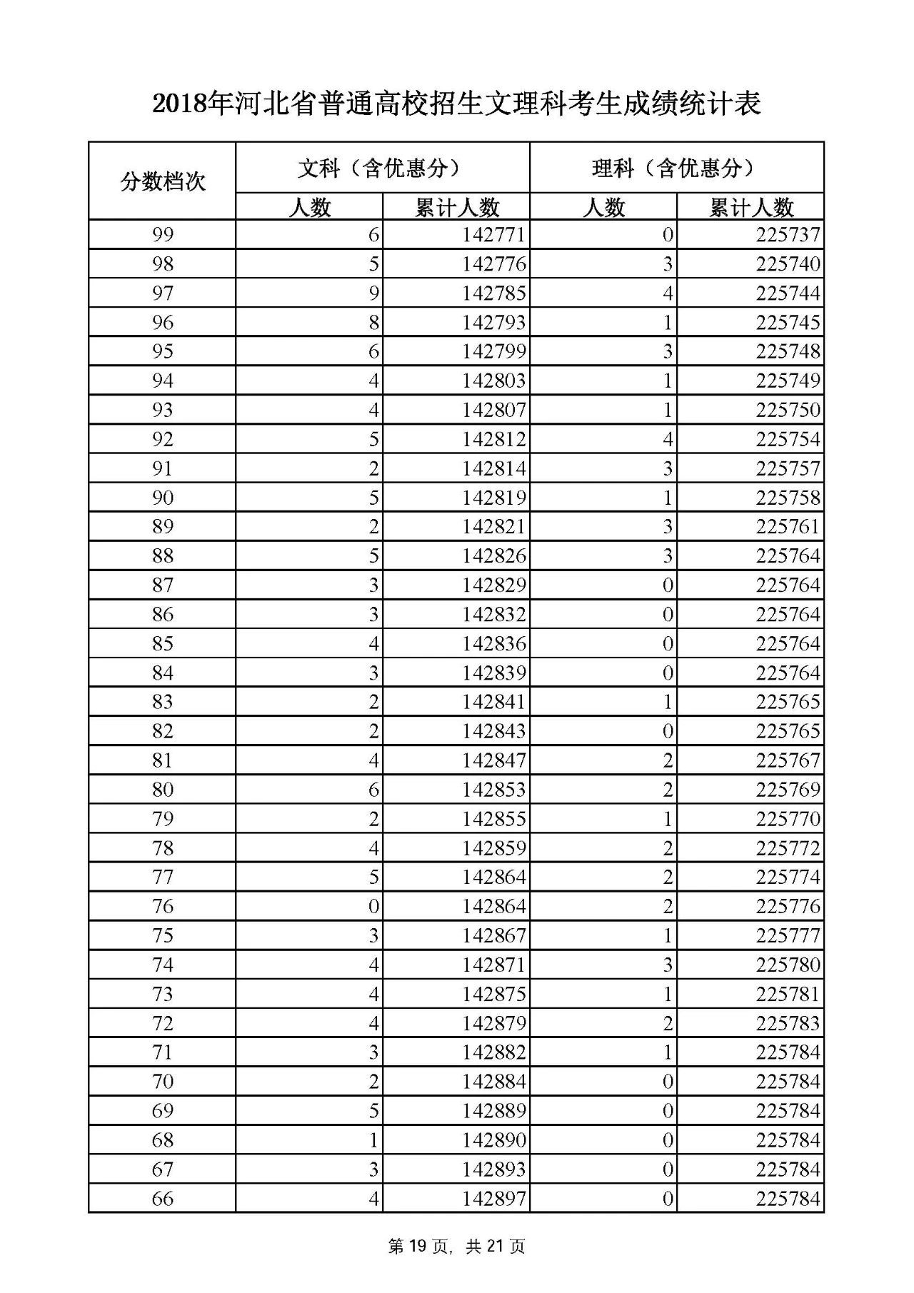
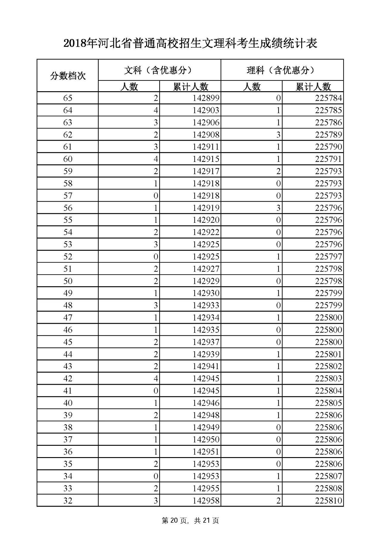
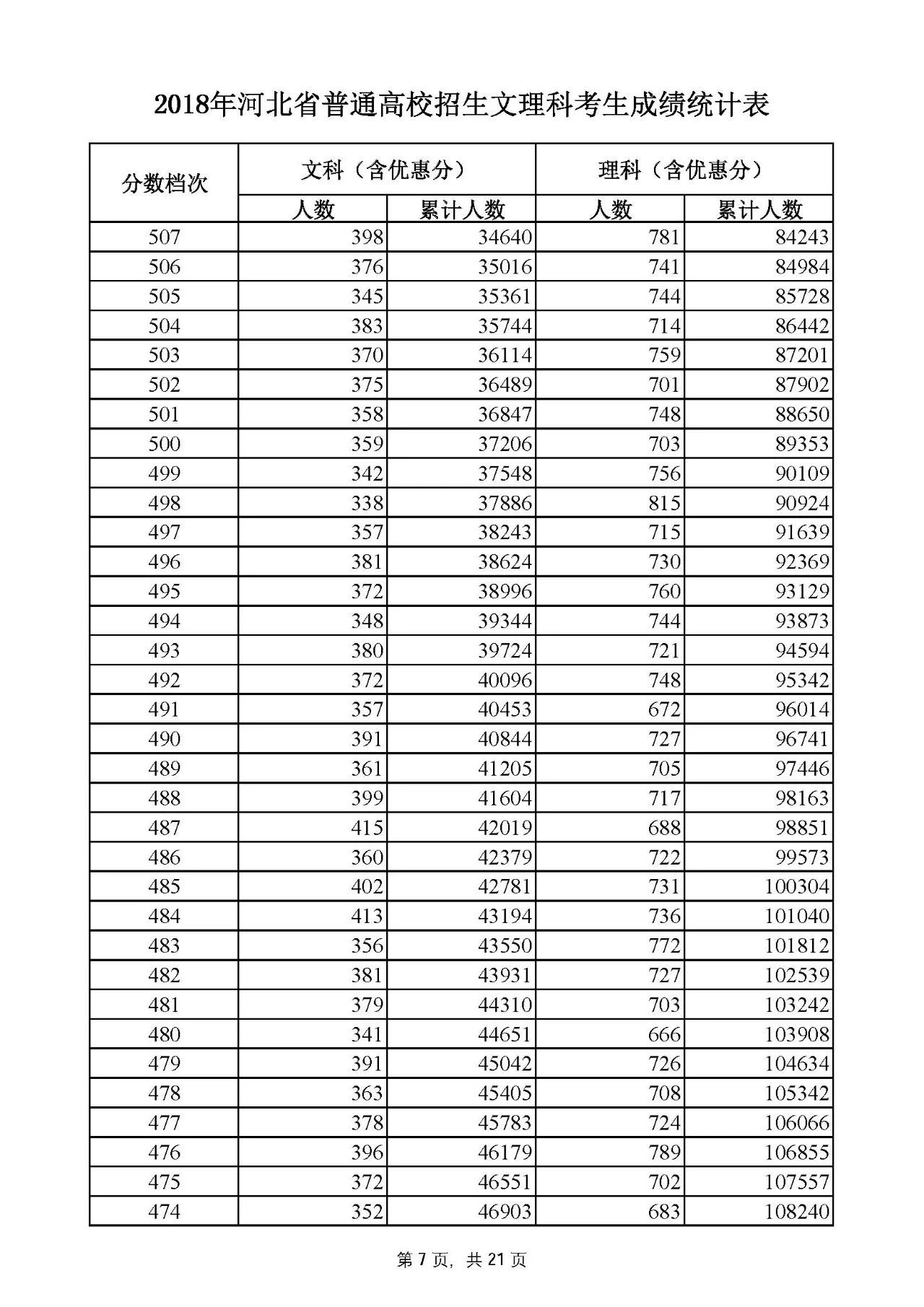
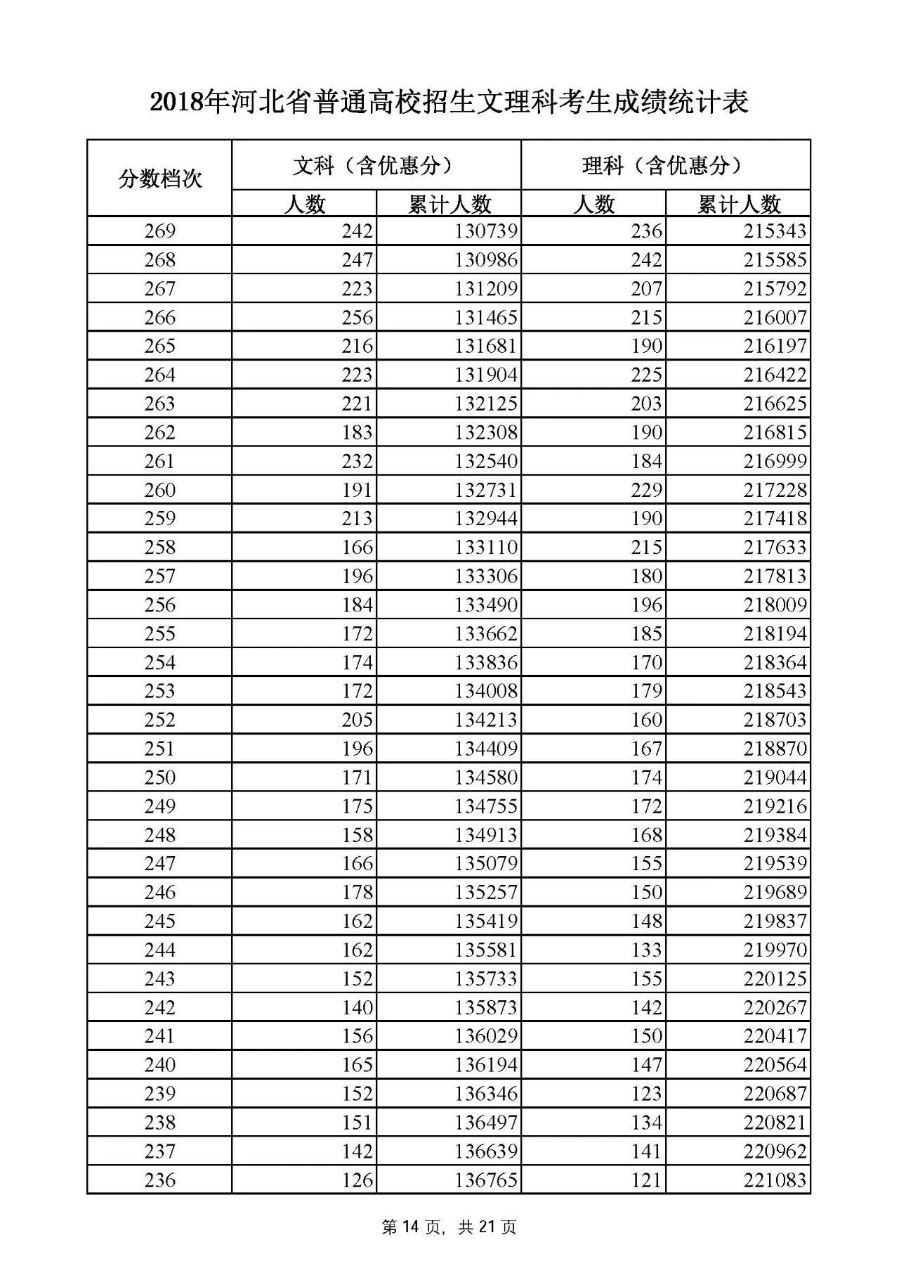
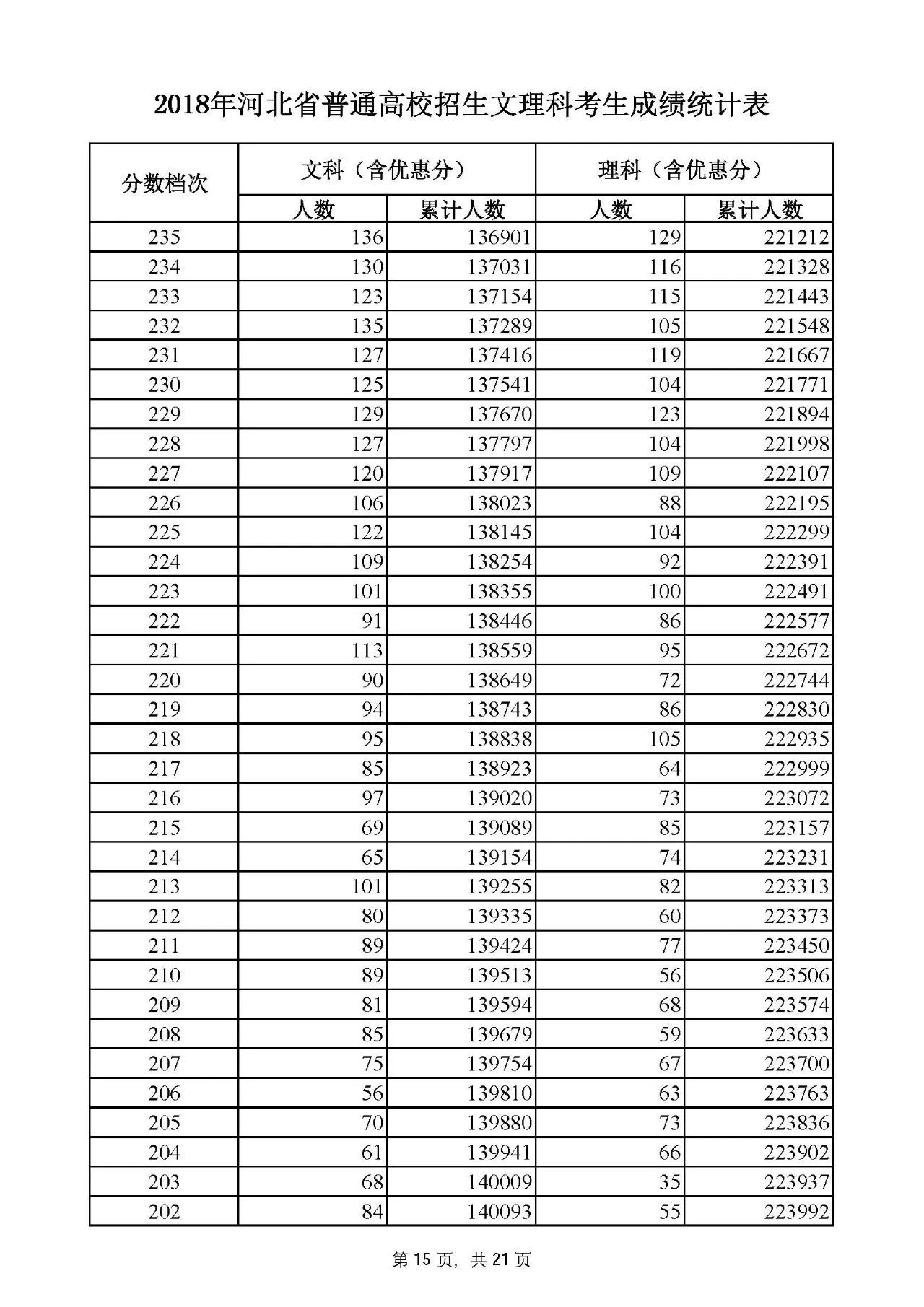
2018年河北普通高校招生文理科一分一档表
52ce2d8835108396ae335faf2952f1f8.jpg

0e55c2f2a9c6cff63715284696f6c5e7.jpg

57ba670ccf991478bd952558c3bd137b.jpg

d6c39b270f76a2f50bcd1b2b9a41787b.jpg

817024acb21bfeb1ef39efb242b11d58.jpg

99bb5f103cb68d01a4c48bcb9439dd25.jpg

08faffc69b40c6ad8f73a51d9fee1f1e.jpg

bd36e747b74f07ac5022750a88a6f20e.jpg

62ef5e9c162184199e57be2323da6d7a.jpg

b3ccf1350743f48698c9a3bbbf1e727c.jpg

6b38c8982c2b66818ef40959e9af3df0.jpg

41111ed1c7b58ba781dbeec6123a3a36.jpg

13ce3d93b03b9f1211fcbcb6d413b030.jpg

40e4a79851ef241127fb630f9307f3d9.jpg

c8d9306d02c16b6270fdbf6fb6b16016.jpg

11619222d228f83e14f2d0be2c7c564b.jpg

4f2db0423cf26fb70a91d4c257cbc89c.jpg

5ffa954e7cb45ffcb25ecf293b63bb93.jpg

4feebbd46921b2d6be23a9986e404ed1.jpg

3255c694bd7d7ad7c1b59c9e5f532cde.jpg

9fa9ff07be4cc2e976b8ea5c56b60127.jpg

高考录取分数线从河北省教育考试院获悉,经河北省招生委员会全体会议研究,确定了今年河北省普通高校招生各批各类录取控制分数线。其中,文史类本科一批为559分;理工类本科一批为511分。
96972f87836097c8bafbffffe1567a6b.jpg
报志愿一定要记住这些事

了解自己分数在全省的排名尽管高考志愿难填,但还是有规律可循。专家建议,拿到“一分一档表”后,考生首先要从中寻找自己的高考成绩,看看全省与自己同分数的考生共有多少人,再看在这个分数之上,全省还有多少考生。这就可以了解到一条重要信息:全省今年究竟有多少考生比自己的考分高?有多少竞争对手?自己在全省排名中处于一个什么分数段?
明确录取几率,仔细对比位次了解自己的排名后,该咋办?专家建议,考生不可直接拿自己今年的成绩硬套往年的录取结果,应以今年自己的位次值与往年的同位次值考生相对比 (即对比往年、今年“一分一档表”中的信息)。
冲、稳、保兼顾,还要看其他因素在“一分一档表”中找到自己的位置之后,到底该选院校,还是选专业?专家建议,院校和专业的选择还是要看考生个人的意愿。要结合自身情况,如兴趣爱好、未来的理想等,同时结合高校的学科和专业设置情况、地理因素、校园的文化氛围、院校对相关科目要求等选择。值得注意是,考生在寻找自己的位置时,除了考虑高校往年录取的最低分,还要看他们录取的平均分,以及录取专业分数线。因为每个高校专业设置不同,热门专业的分数往往高出学校提档线很多。热门专业和冷门专业录取的分数差距也很大,有些相差几十分。
这是骗局!千万别信!近日,有群众反映,不断收到陌生短信,内容为“河北电信高考通服务,依托考试院高考大数据分析,智能化推荐‘冲、稳、保’三个梯度院校,让志愿填报有的放矢。功能费100元,仅扣一次,截止年底有效。河北省教育考试院发布声明,提醒广大考生及家长,省教育考试院未与任何机构、公司及个人合作开展该项服务。

46500201c848a66649f329039851514b.jpg
声明
近日省教育考试院接到群众反映,不断收到陌生短信,内容为“河北电信高考通服务,依托考试院高考大数据分析,智能化推荐‘冲、稳、保’三个梯度院校,让志愿填报有的放矢。功能费100元,仅扣一次,截止年底有效。”在此,我们郑重声明,省教育考试院未与任何机构、公司及个人合作开展该项服务。我院与该项服务活动不存在任何关系。同时,对于某些社会机构和个人盗用我院名义,进行虚假宣传,误导公众,我院将保留追究其法律责任的权利。请各高校、中学及广大考生、家长提高警惕,谨防上当受骗。我省2018年普通高考相关政策、成绩查询、录取结果查询以及各项咨询活动安排均通过省教育考试院官方渠道发布。

具体如下:河北省教育考试院官方网站(http://www.hebeea.edu.cn)
河北招生考试信息服务网(http://www.hebeeb.com/
河北省教育考试院微信公众号:hbsksy
河北省教育考试院移动客户端“掌上考试院”APP
返回列表 使用道具 举报
条评论
您需要登录后才可以回帖 登录 | 立即注册
相关推荐
©2001-2021 唐山信息港 http://www.tsxxg.com冀ICP备2026004523号
首页联系我们客服微信:14369595Comsenz Inc.