唐山市公安交通警察支队2018年第5号公告
唐山信息港 发表于:2018-10-11 18:06 复制链接 看图 发表新帖
阅读数:7095
cd9539ee7a84933cb91cec029891d32e.jpg
唐山市公安交通警察支队

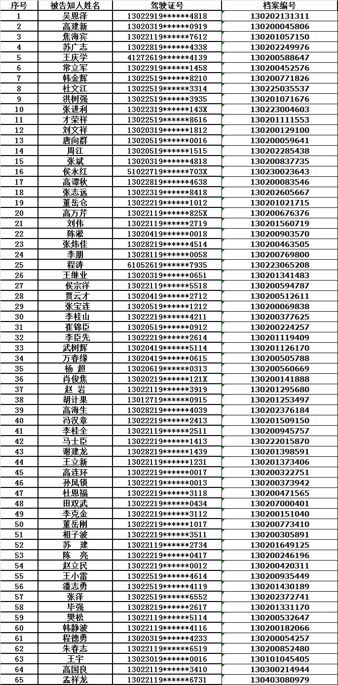
(2018年 第5号) 关于对扣留驾驶证后逾期不接受处理的机动车驾驶人拟作出处罚决定的告知公告 吴恩泽等65人:
        你机动车驾驶证因道路交通安全违法行为被依法扣留后,超过15日无正当理由逾期未接受处理,根据《中华人民共和国道路交通安全法》第一百一十条第二款的规定,我支队拟作出吊销你机动车驾驶证的行政处罚决定,现予以公告告知:

276536c68a7b269df65a3ea6ce164aeb.jpg

    根据《中华人民共和国行政处罚法》第三十二条第一款之规定,你享有陈述和申辩的权利,根据《公安机关办理行政案件程序规定》第一百四十四条的规定,如果你提出陈述申辩意见,应当自本公告之日起7日内向我支队依法提出;根据《中华人民共和国行政处罚法》第四十二条第一款之规定,你享有听证的权利,如果你提出听证申请,应当自本公告之日起3日内向我支队依法提出。逾期未提出陈述申辩意见或听证申请视为放弃权利。

        通信地址:唐山市公安交通警察支队(北新西道43号)
        联系电话:0315-2539138
        特此公告
                唐山市公安交通警察支队2018年10月11日


目前850000+人已关注加入我们

               
返回列表 使用道具 举报
条评论
您需要登录后才可以回帖 登录 | 立即注册
相关推荐
©2001-2021 唐山信息港 http://www.tsxxg.com冀ICP备2026004523号
首页联系我们客服微信:14369595Comsenz Inc.